… … …(記事全文2,904文字)最低賃金1500円が超異常な理由~高市・片山VS岸田・石破
片山さつき財務大臣は、予算委員会で、給料を国が決めてしまったら極めて社会主義的だと発言した。私は、片山氏の主張を肯定する者だが、今回は、この最低賃金について話してみたい。
まず、労働者を守るためという観点からは、最低賃金を定める事は悪いことではない。
だからこそ、『最低賃金法』が存在する。
しかし、『最低賃金法』は、不当に安い賃金で働かされることを防ぐための法であって、政府の目標だったり、強制ではないのだ。
だから、最低賃金法の第十条に、
『厚生労働大臣又は都道府県労働局長は、一定の地域ごとに、中央最低賃金審議会又は地方最低賃金審議会の調査審議を求め、その意見を聴いて、地域別最低賃金の決定をしなければならない。』とある。
つまり、この地域なら最低どれくらい支払えるか、また支払うべきかを調査し判断した上で決めるものであるのだ。
実際に最低時給は都道府県ごとに定められていて、各都道府県が、各都道府県の実情に合わせて決めている。
東京の時給と、青森県、佐渡島や奄美諸島で最低時給が同じにすることは不可能だ。
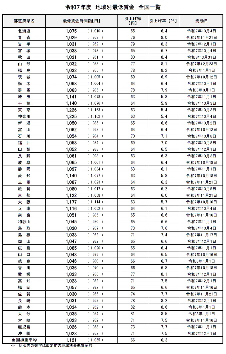
各都道府県の最低時給は、下記の表にように、最高額は東京都の1226円、最低額は宮崎県、高知県、鹿児島県の1023円となっており、約20%の差が既にある。
https://www.mhlw.go.jp/stf/seisakunitsuite/bunya/koyou_roudou/roudoukijun/minimumichiran/index.html
この状態で岸田内閣や石破内閣は最低時給を1500円にすると言ったわけだ。
東京都と神奈川なら時給1500円にしても20%アップほどだが、地方にとっては、40~50%上げることを意味する。
地方でいきなり時給が40~50%上がって対応できる会社なんて、ほとんど無いはずだ。
最低賃金法は、あくまでも不当に賃金の安い労働を強制させることから守る法であって、政治が、各企業の状況を無視し、強制的に賃金を上げさせることは、社会主義的というより、独裁主義的でしかない。
だから・・・ここより先は会員登録が必要です。月・水・金に配信中です。(現在、平日毎日更新中)
そのため、1記事20円程度になります。
なお、今後、値上げの可能性がありますが、値上げした場合も、ご登録者は、登録時の価格が維持されますのでご安心ください。
ご購読を、心よりお待ちしております。よろしくお願いいたします。m(__)m

